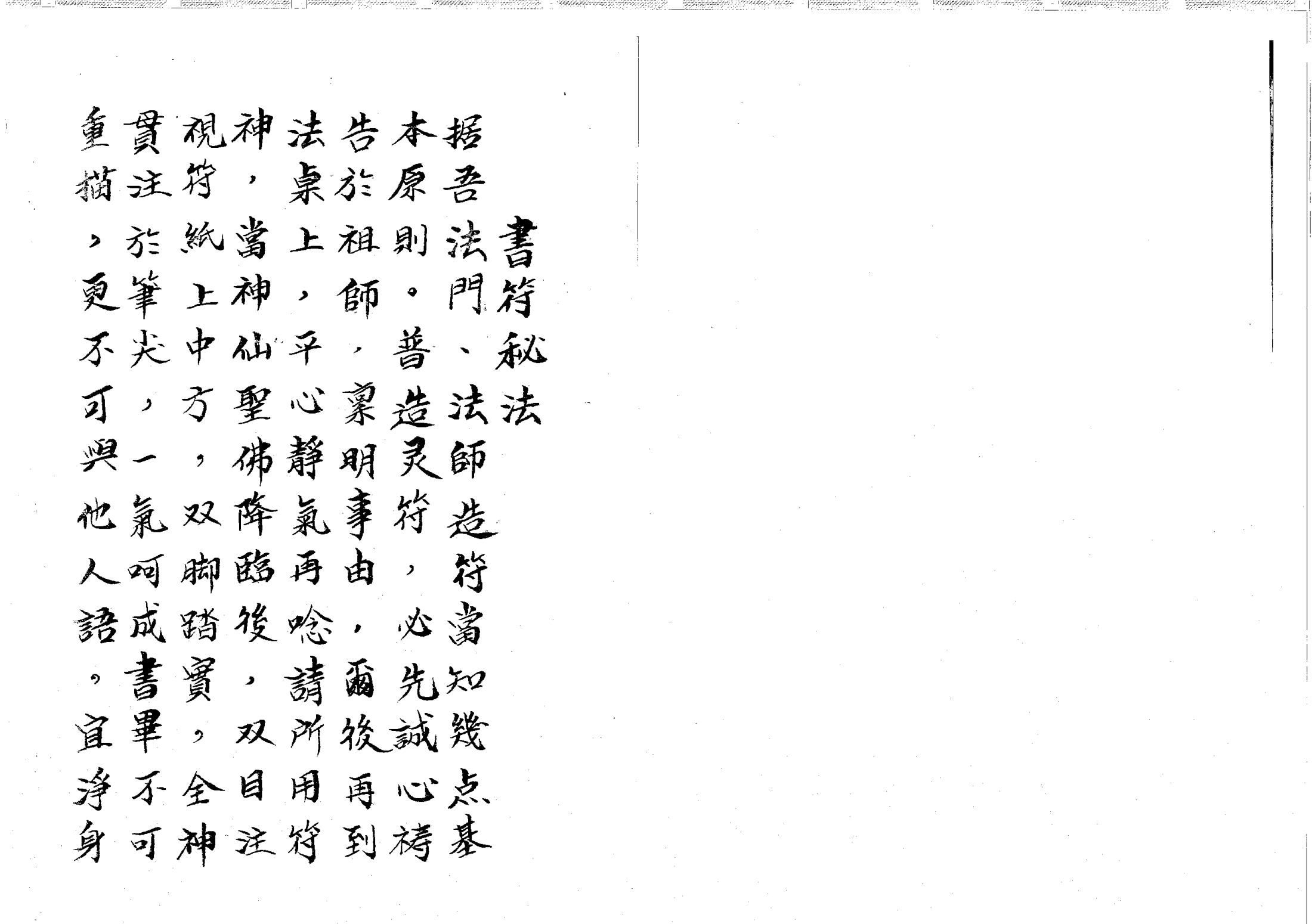
台湾天和正教书符秘法100页电子版

提示:选择支付宝支付可以用花呗!! (下载说明:网站资料使用百度网盘或夸克网盘链接下载附件,介意者谨慎考虑是否需要!文件格式为PDF文件。手机与电脑上安装WPS软件就都可以观看!如果下载不成功,可以加管理微信:ddzlwcom 发付款截图即可补发,管理在线时间为早上八点到晚上九点!!)
资源下载
下载价格480 金币

温馨提示:大部分资料都是古本或现代整理版,实际内容以资料内容为准,不确定内容是否是自己需要的请咨询工单咨询,未经咨询下单一律视为清楚了解资料内容并选择,下单成功后概不退款,网站资料使用百度网盘或夸克网盘链接下载附件,介意者谨慎考虑是否需要!支付后不要关闭网页等待自动跳转到下载页面,如果仍然无法下载请点击这里提交工单(游客没有登陆的朋友可以加管理微信补发:yxzlwcom 加好友备注无法下载即可,管理在线时间为早8点到晚上21点,正常10分钟内即可更新下载,节假日及休息时间会延误时间稍长,敬请耐心等待):管理会在看到消息后第一时间给您补发资料,并在资料页面补发链接提供下载链接,感谢理解!!!!


滨城六壬伏英馆法本上下合集157页电子版
滨城六壬伏英馆法本上下合集157页电子版
刚刚 有人购买 去瞅瞅看
显示验证码
没有账号?注册  忘记密码?